Meldonija izraisītās L-karnitīna koncentrācijas samazināšanas ietekme uz kardiovaskulāro bojājumu attīstību eksperimentālajā dislipidēmijas modelī
Kopsavilkums
Dislipidēmija ir būtisks kardiovaskulāro slimību riska faktors. L-karnitīns piedalās gan taukskābju, gan glikozes metabolisma regulācijā. Ir parādīts, ka L-karnitīna koncentrācijas samazinājums audos veicina taukskābju plūsmas pārvirzīšanu un glikozes metabolisma stimulāciju, kas varētu mazināt dislipidēmijas izraisītos traucējumus. Darba mērķis bija noskaidrot L-karnitīna koncentrācijas samazināšanas lietderīgumu dislipidēmijas izraisīto traucējumu gadījumā.
Dislipidēmijas izraisītie traucējumi tika novēroti eksperimentālā fruktozes modelī Wistar līnijas žurku tēviņos, dodot tiem 10 % fruktozes šķīdumu astoņas nedēļas. L-karnitīna koncentrācijas samazināšanai tika izmantots meldonijs, lietojot 200 mg/kg četras nedēļas. Žurkām tika mērīti fizioloģiskie un bioķīmiskie parametri, kā arī tika noteikta endotēlija funkcionalitāte izolētās aortās un sirds išēmijas-reperfūzijas bojājums.
Fruktozes lietošana palielināja brīvo taukskābju un triglicerīdu koncentrāciju plazmā ēdušām žurkām attiecīgi par 29 un 73 %. Meldonija ilgstoša ievadīšana statistiski ticami par 31 % samazināja fruktozes lietošanas izraisīto triglicerīdu koncentrācijas palielinājumu. Meldonija lietošana samazināja insulīna koncentrāciju plazmā ēdušām žurkām par 45 %. Fruktozes lietošanas rezultātā infarkta izmērs bija būtiski palielināts 1,8 reizes, salīdzinot ar kontrolgrupu. Savukārt pēc četru nedēļu ilgas meldonija ievadīšanas infarkta izmērs un endotēlija funkcionalitāte dislipidēmijas modelī neatšķīrās no veselās kontrolgrupas rādītājiem, kas nozīmē uzlabojumu, salīdzinot ar dislipidēmijas kontroli.
Iegūtie rezultāti liecina, ka L-karnitīna koncentrācijas samazināšana aizkavē dislipidēmijas izraisīto enerģijas metabolisma traucējumu un kardiovaskulāro bojājumu attīstību pētījumā ar Wistar līnijas žurku tēviņiem. Meldonija izraisītā L-karnitīna koncentrācijas samazināšana varētu mazināt kardiovaskulāro notikumu risku pacientiem ar metabolo sindromu.
Ievads
Dislipidēmija ir būtisks aterosklerozes un kardiovaskulāro slimību riska faktors, kam raksturīgs paaugstināts triglicerīdu un kopējā vai zema blīvuma lipoproteīnu holesterīna daudzums. Mūsdienās pieejamā medikamentozā lipīdu koncentrācijas koriģēšana, pat kombinācijā ar dzīvesveida maiņu, ne vienmēr ir pietiekami efektīva, tāpēc būtiski ir meklēt arvien jaunas iespējas lipīdu metabolisma traucējumu novēršanai un samazināšanai.
Augsta aptaukošanās un 2. tipa cukura diabēta izplatība tiek saistīta ar populācijas kopējo saharozes un fruktozes patēriņa pieaugumu, ko galvenokārt veicinājusi augsta fruktozes satura kukurūzas sīrupa lietošanas ieviešana saldinātajos dzērienos un pārtikā (Tappy, 2012). Atšķirībā no glikozes fruktoze vāji stimulē insulīna un leptīna sekrēciju, kas aizkavē sāta sajūtas iestāšanos un varētu palielināt ēdiena daudzuma uzņemšanu un veicināt aptaukošanos (Teff, 2004). Fruktozes metabolismam nav kavējošas enzimātiskas regulācijas, un tā rezultātā pastiprinātā glikolīze ievērojami palielina enerģijas substrātu (glikozes, laktāta un piruvāta) pieejamās koncentrācijas glicerīna un acil-glicerīna sintēzei. Tādējādi pārmērīga fruktozes uzņemšana veicina triglicerīdu un ļoti zema blīvuma lipoproteīnu veidošanos.
Nav vēlama arī pārāk vēlīna papilduztura došanas uzsākšana – pēc septiņu mēnešu vecuma. Šāda prakse var radīt bērnam dažādu makroelementu un mikroelementu deficītu vai pat anēmiju [1, 20]. Visbiežākā problēma zīdaiņiem līdz gada vecumam ir dzelzs deficīts un anēmija, ko var izraisīt arī pārāk vēlīna papilduztura došanas uzsākšana [11, 17, 20].
Veseliem indivīdiem, pateicoties alternatīviem signālceļiem, kompensatori tiek kavēta glikoneoģenēze, saglabājot nemainīgu kopējo glikozes veidošanos aknās. Tomēr ilgstošā laikposmā fruktozes lietošana samazina insulīna inhibējošo ietekmi uz glikozes produkciju aknās un veicina insulīna rezistences attīstību (Wiernsperger, 2010). Eksperimentālos pētījumos parādīts, ka ilgstoša fruktozes lietošana žurkām izraisa hipertrigliceridēmiju, hipertensiju, insulīna rezistenci un hiperinsulinēmiju (Abdulla, 2011; Tran, 2009). Kopumā ilgstoša fruktozes lietošana var veicināt 2. tipa cukura diabēta attīstību un palielināt kardiovaskulāro slimību risku (Hu, 2010; Malik, 2012).
L-karnitīns kā aciltransferāžu kofaktors nodrošina garķēžu taukskābju transportu cauri mitohondrija membrānai un piedalās gan taukskābju, gan glikozes metabolisma regulācijā (Calvani, 2000; Dambrova, 2015; Liepinsh, 2011a; Stephens, 2007). Pētījumos noskaidrots, ka, samazinot L-karnitīna koncentrāciju audos, tiek veicināta taukskābju plūsmas pārvirzīšana un glikozes metabolisma stimulācija, samazinot išēmijas un ogļhidrātu metabolisma patoloģiju izraisītos traucējumus (Liepinsh, 2008; Liepinsh, 2009b; Liepinsh, 2011a; Liepinsh, 2011b; Liepinsh, 2013).
Kardioprotektīvajam savienojumam meldonijam (Mildronāts®, 3-(2,2,2-trimetilhidrazīnija) propionāts) agrāk veiktos pētījumos parādīta glikozes metabolismu veicinoša aktivitāte (Liepinsh, 2008), kas tiek skaidrota ar meldonija izraisīto L-karnitīna koncentrācijas samazinošanos (Dambrova, 2002; Kuka, 2012). Meldonijs samazina L-karnitīna koncentrāciju organismā, kavējot tā biosintēzi un transportu audos, kā rezultātā izpaužas meldonija kardioprotektīvā un glikozes metabolismu regulējošā aktivitāte (Dambrova, 2002; Kuka, 2012; Kuwajima, 1999; Sesti, 2006).
Papildus kardioprotektīvajam un aterosklerozi samazinošajam efektam (Kuka, 2012; Liepinsh, 2006; Liepinsh, 2011a; Vilskersts, 2009) meldonijs samazina arī glikozes koncentrāciju asinīs un aizkavē endotēlija disfunkcijas un nervu signālu pārvades traucējumu attīstību 2. tipa cukura diabēta eksperimentālajā modelī (Liepinsh, 2009b), kā arī mazina hiperglikēmijas un hiperlipidēmijas izraisītos enerģijas metabolisma traucējumus (Liepinsh, 2011b). Iepriekš iegūtie rezultāti liecina, ka meldonija izraisītā L-karnitīna koncentrācijas samazināšanās varētu būt lietderīga dislipidēmijas izraisīto traucējumu gadījumā.
Darba mērķis
Darba mērķis bija noskaidrot L-karnitīna koncentrācijas samazināšanas ietekmi uz bioķīmiskajiem un fizioloģiskajiem parametriem, sirds išēmijas-reperfūzijas bojājumu un endotēlija funkcionalitāti eksperimentālā dislipidēmijas modelī.
Materiāls un metodes
Eksperimentiem tika izmantoti 36 pieauguši, 190–250 g smagi Wistar līnijas žurku tēviņi (Rīgas Stradiņa universitātes Eksperimentālo dzīvnieku laboratorija, Latvija). Pirms eksperimenta sākuma dzīvnieki tika divas nedēļas pieradināti pie vietējiem apstākļiem. Eksperimenta laikā dzīvnieki tika turēti standarta sprostos pa 5–6 vienā sprostā standartizētos apstākļos (gaisa temperatūra 21–23 °C, 12 stundu gaismas / tumsas cikls) ar neierobežotu pieeju ūdenim un barībai (R3 diēta, Lactamin AB, Zviedrija). Visas eksperimentālās procedūras tika veiktas saskaņā ar Eiropas Komisijas direktīvas 86/609/EEC vadlīnijām un tika saskaņotas ar Latvijas Republikas Pārtikas un veterināro dienestu un Dzīvnieku aizsardzības ētikas padomi.
Eksperimenta sākumā Wistar žurkas pēc nejaušības principa tika iedalītas trīs grupās (pa 12 žurkām katrā grupā). Lipīdu metabolisma traucējumu attīstībai 24 Wistar līnijas žurkām četras nedēļas tika dots 10 % fruktozes šķīdums, kas pagatavots no D-fruktozes (Acros Organics, Beļģija). Lai izvērtētu L-karnitīna koncentrācijas samazināšanās ietekmi, papildus 10 % fruktozes šķīdumam vēl četras nedēļas p. o. ievadīja meldoniju (Mildronāts®, Grindeks, Latvija) devā 200 mg/kg (10 % fruktoze + meldonijs) vai ūdeni (10 % fruktozes kontrole). Žurkas, kas visu eksperimenta laiku fruktozes šķīduma vietā saņēma dzeramo ūdeni, tika izmantotas kā kontrolgrupa.
Eksperimenta 8. nedēļā žurkas ievietoja metabolisma kamerās un noteica apēstās barības, izdzertā ūdens un izvadītā urīna daudzumu. Eksperimenta beigās dzīvniekus anestezēja ar nātrija pentobarbitālu devā 60 mg/kg i. p. (Dorminal 20 % šķīdums, Nīderlande), vienlaikus ievadot heparīnu 1000 IU/kg (Panpharma, Francija). Plazmu un aknu audus pēc savākšanas uzglabāja −20 °C temperatūrā līdz paraugu analīzei.
Plazmas paraugus izmantoja brīvo taukskābju, triglicerīdu, glikozes un insulīna koncentrācijas mērījumiem ar Wako (Vācija), Instrumentation Laboratory (Itālija) un Millipore (ASV) noteikšanas reaģentu komplektiem atbilstoši ražotāju instrukcijām. Lipīdu profila un glikogēna noteikšanai aknu audu gabaliņus homogenizēja ar ledus aukstu fosfātu buferšķīdumu, kas satur 1 % Igepal CA 630, masas tilpuma attiecībā 1 : 10, izmantojot Cole Parmer 130-Watt ultraskaņas homogenizatoru. Homogenātu centrifugēja 10 minūtes 6000 × g un virsnogulšņu šķīdumu izmantoja brīvo taukskābju, triglicerīdu un glikogēna koncentrācijas noteikšanai aknu audos ar reaģentu komplektiem atbilstoši ražotāju instrukcijām.
Izolētās žurku sirds infarktu eksperimentu veica saskaņā ar iepriekš aprakstītu metodi (Kuka, 2012). Žurku sirdis izolēja, atdzesēja ledusaukstā Krebsa–Henselaita (K-H) buferšķīdumā un kanulēja ADInstruments Langendorffa aparātā. Sirdis perfuzēja ar K-H buferšķīdumu, kas piesātināts ar 95 % O2 un 5 % CO2, 37 °C temperatūrā, pH 7,4. Pēc 20 minūšu adaptācijas, okludējot kreiso lejupejošo koronāro artēriju, izraisīja miokarda infarktu. Pēc 30 minūšu išēmijas sekoja 120 minūšu ilga reperfūzija, kuras beigās sirds audi tika izmantoti infarkta izmēra noteikšanai. Attēlu apstrādi veica, izmantojot Image-Pro Plus programmas v6.3 versiju. Iegūtos rezultātus izmantoja infarkta lieluma noteikšanai, aprēķinot nekrozes lielumu pret kopējo riska zonas lielumu (Liepinsh, 2013).
No endotēlija atkarīgo vazodilatāciju aortas gredzenos noteica atbilstoši iepriekš aprakstītai metodei (Vilskersts, 2014). Krūšu aorta tika izgriezta un ievietota ledusaukstā K-H buferšķīdumā. 3 mm gari aortu gredzeni tika piestiprināti izometriskajiem spēka sensoriem un inkubēti 37 °C temperatūrā K-H šķīdumā. Mērījumus reģistrēja, izmantojot LabChart 6 programmu un PowerLab 8/30 datu reģistrācijas sistēmu. Aortu maksimālo kontrakciju noteica, pievienojot 80 mM KCl. Pēc tam aortu gredzeni tika kontrahēti, izmantojot noradrenalīnu, 60 līdz 80 % no maksimālās kontrakcijas līmeņa, un endotēlija funkciju noteica, pievienojot acetilholīnu koncentrācijā no 0,1 nM līdz 10 μM.
Dati attēloti kā vidējās vērtības ± vidējās vērtības standartkļūda (SEM). Datu apkopošanā un statistiskajā analīzē tika izmantoti Microsoft Excel 2007 un GraphPad Prism 5.03 programmnodrošinājumi (Graph Pad Inc., ASV). Grupu salīdzināšanai lietoja dispersijas analīzes metodi (one way ANOVA) ar Danneta testu (Dunnett’s test). Aortu datu analīzei izmantoja divu faktoru dispersijas analīzes metodi (two way ANOVA) ar Bonferoni testu (Bonferroni test). Rezultāti tika uzskatīti par ticamiem, ja p vērtība bija mazāka par 0,05.
Rezultāti
Fizioloģisko parametru izmaiņas pēc astoņu nedēļu ilgas fruktozes lietošanas un četru nedēļu ilgas meldonija ievadīšanas Wistar žurkām apkopotas 1. tabulā. Fruktozes šķīduma lietošana neietekmēja žurku svaru un svara pieaugumu, bet samazināja uzņemtās barības daudzumu 1,8 reizes un palielināja izdzertā ūdens, kā arī izvadītā urīna daudzumu attiecīgi 3 un 6 reizes (sk. 1. tab.). Kā redzams 1. tabulā, četru nedēļu ilga meldonija (200 mg/kg) ievadīšana neietekmēja Wistar žurku svaru vai svara pieaugumu, kā arī fruktozes šķīduma lietošanas izraisīto uzņemtās barības daudzuma samazināšanos. Meldonija ievadīšana statistiski ticami samazināja fruktozes šķīduma lietošanas izraisīto izdzertā ūdens un izvadītā urīna daudzuma palielināšanos attiecīgi par 31 un 36%.
Eksperimenta beigās glikozes koncentrācija asinīs kontrolgrupas žurkām bija 5,4 ± 0,2 mM un neatšķīrās no fruktozes kontrolgrupas žurkām. Meldonija (200 mg/kg) četru nedēļu ilga ievadīšana glikozes koncentrāciju plazmā žurkām neietekmēja (sk. 1. att.).
Fruktozes šķīduma astoņu nedēļu ilga lietošana neietekmēja insulīna koncentrācijas ne ēdušām Wistar žurkām, ne žurkām tukšā dūšā (sk. 2. att.).
Meldonija četru nedēļu ilga ievadīšana statistiski ticami par 45% samazināja insulīna koncentrāciju plazmā ēdušām žurkām, un, ievadot meldoniju, novērota tendence par 46 % samazināties arī insulīna koncentrācijai plazmā žurkām tukšā dūšā (p = 0,13) (sk. 2. att.).
Brīvo taukskābju koncentrācijas izmaiņas žurku plazmā pēc astoņu nedēļu ilgas 10 % fruktozes šķīduma lietošanas parādītas 3. attēlā. Fruktozes lietošana statistiski ticami palielināja brīvo taukskābju koncentrāciju žurkām tukšā dūšā par 17 %, savukārt ēdušām – par 29 % (sk. 3. att.). Meldonija (200 mg/kg) četru nedēļu ilga ievadīšana ēdušām žurkām brīvo taukskābju koncentrāciju plazmā neietekmēja, taču žurkām tukšā dūšā palielināja par 17 %, salīdzinot ar fruktozes kontrolgrupas žurkām.
1. tabula. Meldonija četru nedēļu ilgas ievadīšanas ietekme uz fizioloģiskajiem parametriem eksperimentālajā dislipidēmijas modelī * / Effect of meldonium after 4 week administration on physiological parameters in the experimental dyslipidemia model *
| Fizioloģiskie parametri | Kontrolgrupa | 10 % fruktozes kontrolgrupa | 10 % fruktozes + meldonija grupa |
|---|---|---|---|
| Žurku svars, g | 370 ± 13 | 365 ± 10 | 356 ± 13 |
| Žurku svara pieaugums, g | 150 ± 11 | 143 ± 9 | 134 ± 14 |
| Uzņemtās barības daudzums, g/dienā | 25 ± 2 | 14 ± 1** | 17 ± 2** |
| Izdzertā ūdens daudzums, ml/dienā | 33 ± 3 | 88 ± 12** | 61 ± 8**,# |
| Urīna daudzums, g/dienā | 9 ± 1 | 59 ± 9** | 37 ± 6**,# |
* Fizioloģiskie parametri tika noteikti Wistar žurkām pēc astoņu nedēļu ilgas 10 % fruktozes šķīduma lietošanas. Rezultāti ir vidējais no mērījumiem 11–12 dzīvniekos ± SEM. / Physiological parameters were determined in Wistar rats after 8 weeks of 10 % fructose solution administration. Data are shown as mean ± SEM of 11–12 animals.
** Statistiski ticami atšķiras no kontrolgrupas. / Significantly different from control group.
# Statistiski ticami atšķiras no 10% fruktozes kontrolgrupas (Danneta tests, p < 0,05). / Significantly different from fructose control group (Dunnett’s test, p < 0.05).
1. attēls. Meldonija četru nedēļu ilgas ievadīšanas ietekme uz glikozes koncentrāciju eksperimentālajā dislipidēmijas modelī ēdušu žurku asinīs * / Effect of meldonium after 4 week administration on blood glucose concentration of fed rats in the experimental dyslipidemia model *

* Rezultāti ir vidējais no mērījumiem 11–12 dzīvniekos ± SEM. / Data are shown as mean ± SEM of 11–12 animals.
2. attēls. Meldonija četru nedēļu ilgas ievadīšanas ietekme uz insulīna koncentrāciju plazmā žurkām tukšā dūšā un ēdušām žurkām eksperimentālajā dislipidēmijas modelī * / Effect of meldonium after 4 week administration on plasma insulin concentration of fasted and fed rats in the experimental dyslipidemia model *

* Rezultāti ir vidējais no mērījumiem 11–12 dzīvniekos ± SEM. / Data are shown as mean ± SEM of 11–12 animals.
** Statistiski ticami atšķiras no kontrolgrupas. / Significantly different from control group.
# Statistiski ticami atšķiras no 10 % fruktozes kontrolgrupas (Danneta tests, p < 0,05). / Significantly different from fructose control group (Dunnett’s test, p < 0.05).
3. attēls. Meldonija četru nedēļu ilgas ievadīšanas ietekme uz brīvo taukskābju koncentrāciju žurkām tukšā dūšā un ēdušām žurkām eksperimentālajā dislipidēmijas modelī * / Effect of meldonium after 4 week administration on free fatty acid concentration of fasted and fed rats in the experimental dyslipidemia model *

* Rezultāti ir vidējais no mērījumiem 11–12 dzīvniekos ± SEM. / Data are shown as mean ± SEM of 11–12 animals.
** Statistiski ticami atšķiras no kontrolgrupas. / Significantly different from control group.
# Statistiski ticami atšķiras no 10 % fruktozes kontrolgrupas (Danneta tests, p < 0,05). / Significantly different from fructose control group (Dunnett’s test, p < 0.05).
Kā redzams 4. attēlā, triglicerīdu koncentrācija plazmā fruktozes kontrolgrupas žurkām bija palielināta 1,7 reizes tikai ēdušām žurkām. Meldonija (200 mg/kg) četru nedēļu ilga ievadīšana ēdušām žurkām triglicerīdu koncentrāciju plazmā statistiski ticami samazināja par 31 %. Wistar žurkām tukšā dūšā, salīdzinot ar kontrolgrupas žurkām, ne astoņu nedēļu fruktozes šķīduma lietošana, ne četru nedēļu ilga meldonija ievadīšana triglicerīdu koncentrāciju plazmā neietekmēja (sk. 4. att.).
Fruktozes šķīduma lietošana neizmainīja lipīdu (brīvo taukskābju, triglicerīdu) un glikogēna daudzumu aknās, kā arī četru nedēļu ilga meldonija ievadīšana brīvo taukskābju, triglicerīdu un glikogēna daudzumu aknu audos neietekmēja (sk. 2. tab.).
4. attēls. Meldonija četru nedēļu ilgas ievadīšanas ietekme uz triglicerīdu koncentrāciju žurkām tukšā dūšā un ēdušām žurkām eksperimentālajā dislipidēmijas modelī * / Effect of meldonium after 4 week administration on triglyceride concentration of fasted and fed rats in the experimental dyslipidemia model *

* Rezultāti ir vidējais no mērījumiem 11–12 dzīvniekos ± SEM. / Data are shown as mean ± SEM of 11–12 animals.
** Statistiski ticami atšķiras no kontrolgrupas. / Significantly different from control group.
# Statistiski ticami atšķiras no 10% fruktozes kontrolgrupas (Danneta tests, p < 0,05). / Significantly different from fructose control group (Dunnett’s test, p < 0.05).
2. tabula. Meldonija četru nedēļu ilgas ievadīšanas ietekme uz brīvo taukskābju, triglicerīdu un glikogēna daudzumu aknu audos eksperimentālajā dislipidēmijas modelī* / Effect of meldonium after 4 week administration on free fatty acid, triglyceride and glycogen concentrations in liver tissue in experimental dyslipidemia model*
| Žurku grupa | Aknu audi | ||
|---|---|---|---|
| Brīvās taukskābes, μmol/g audu | Triglicerīdi, μmol/g audu | Glikogēns, mg/g audu | |
| Kontrolgrupa | 18,5 ± 0,5 | 15,3 ± 0,7 | 23 ± 2,2 |
| 10 % fruktozes kontrolgrupa | 17,0 ± 0,7 | 16,7 ± 1,0 | 27 ± 3,5 |
| 10 % fruktozes + meldonija grupa | 16,9 ± 0,6 | 14,9 ± 0,6 | 28 ± 2,9 |
* Rezultāti ir vidējais no mērījumiem 11–12 dzīvniekiem ± SEM. / Data are shown as mean ± SEM of 11–12 animals.
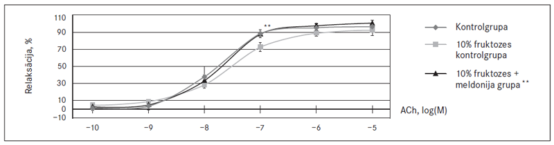
No endotēlija atkarīgā aortu gredzenu atslābšana 10-7M acetilholīna ietekmē fruktozes kontrolgrupas žurkām statistiski ticami atšķīrās par 17 %, salīdzinot ar kontrolgrupu, kas liecina par agrīniem endotēlija funkcionalitātes traucējumiem (sk. 5. att.). Maksimālā endotēlija relaksācija 10-7M acetilholīna ietekmē pēc četru nedēļu ilgas meldonija ievadīšanas dislipidēmijas modelī statistiski ticami atšķīrās par 17 %, salīdzinot ar fruktozes kontrolgrupu (sk. 5. att.).
Meldonija (200 mg/kg) ievadīšanas ietekme uz sirds infarkta izmēru dislipidēmijas modelī parādīta 6. attēlā.
Astoņu nedēļu fruktozes šķīduma lietošanas rezultātā infarkta izmērs bija palielināts 1,8 reizes, salīdzinot ar kontrolgrupu. Meldonija ievadīšanai novēroja tendenci samazināt infarkta izmēru par 26 % (p = 0,18), salīdzinot ar fruktozes kontrolgrupu, turklāt meldonija grupā infarkta izmērs ticami neatšķīrās no veselās kontrolgrupas rādītājiem.
5. attēls. Meldonija četru nedēļu ilgas ievadīšanas ietekme uz endotēlija funkcionalitāti eksperimentālajā dislipidēmijas modelī * / Effect of meldonium after 4 week administration on endothelial function in the experimental dyslipidemia model *

* Rezultāti ir vidējais no mērījumiem 5–6 dzīvniekiem ± SEM. / Data are shown as mean ± SEM of 5–6 animals.
** Statistiski ticami atšķiras no kontrolgrupas un fruktozes kontrolgrupas (Bonferoni tests, p < 0,05). / Significantly different from control group and from fructose control group (Bonferroni test, p < 0.05).
6. attēls. Meldonija četru nedēļu ilgas ievadīšanas ietekme uz sirds infarkta izmēru eksperimentālajā dislipidēmijas modelī * / Effect of meldonium after 4 week administration on infarct size in the experimental dyslipidemia model *

* Rezultāti ir vidējais no mērījumiem 7 dzīvniekiem ± SEM. / Data are shown as mean ± SEM of 7 animals.
** Statistiski ticami atšķiras no kontrolgrupas (Danneta tests, p < 0,05). / Significantly different from control group (Dunnett’s test, p < 0.05).
Diskusija
Klīniskajos un epidemioloģiskajos pētījumos parādīts, ka pastāv saistība starp palielinātu fruktozes patēriņu un metabolā sindroma attīstību (Hu, 2010). Dažos pētījumos žurkām jau pēc sešu nedēļu ilgas 10 % fruktozes šķīduma lietošanas ir attīstījušās tādas metabolajam sindromam raksturīgas pazīmes kā dislipidēmija, aptaukošanās, hiperglikēmija, hiperinsulinēmija, glikozes tolerances traucējumi, hipertensija, kā arī endotēlija disfunkcija (El-Bassossy, 2014; Yuan, 2015; Zhang, 2011).
Mūsu pētījumā fruktozes šķīduma lietošana pēc astoņām nedēļām izraisīja hiperlipidēmiju (palielinātu triglicerīdu un brīvo taukskābju daudzumu plazmā), tomēr nenovērojām svara izmaiņas, glikozes un insulīna koncentrācijas palielināšanos plazmā. Žurkām pēc 10 % fruktozes šķīduma ilgstošas lietošanas netika novēroti glikozes tolerances traucējumi (dati nav parādīti). Arī citā pētījumā ir novērots, ka Wistar žurkām pēc astoņu nedēļu ilgas 10 % fruktozes šķīduma lietošanas nepalielinās svars, kā arī nav glikozes un lipīdu metabolisma izmaiņu (de Moura, 2009). Šajā pētījumā fruktozes lietošana ticami palielināja sirds infarkta izmēru 1,8 reizes un izraisīja agrīnus endotēlija funkcionalitātes bojājumus.
Jau iepriekš konstatēts, ka fruktozes lietošanas izraisīto metabolisma izmaiņu un bojājumu attīstības pakāpe dažādos pētījumos ir ļoti atšķirīga un atkarīga gan no dzīvnieku sugas, dzīvnieku vecuma eksperimenta sākumā, gan fruktozes devas, ievadīšanas veida un ilguma (Abdulla, 2011). Varam secināt, ka mūsu pētījumā fruktozes izraisītā hiperlipidēmija, palielinot fruktozes devu, ilgstošākā laikposmā varētu izraisīt glikozes un insulīna tolerances traucējumus.
Meldonija izraisītais L-karnitīna koncentrācijas samazinājums neietekmēja žurku svaru dislipidēmijas modelī. Arī iepriekš veiktajos pētījumos meldonija lietošanas gadījumā netika novērots svara samazināšanās efekts žurkām (Liepinsh, 2009a; Liepinsh, 2011b). Savukārt meldonija ievadīšana kombinācijā ar metformīnu samazināja svara pieaugumu aptaukošanās un metabolā sindroma Zucker fa/fa žurkām, kavējot taukaudu daudzuma pieaugumu (Liepinsh, 2011b). Fruktozes lietošanas modelī meldonijs samazināja plazmas triglicerīdu koncentrācijas pieaugumu. Iepriekšējos pētījumos novērots, ka L-karnitīna koncentrācijas samazinājums kavē taukskābju transportu mitohondrijos un garķēžu taukskābju oksidāciju, tādējādi tiek novērsta pastiprināta taukskābju uzkrāšanās mitohondrijos, uzlabojas insulīna jutība un samazinās glikozes koncentrācija (Liepinsh, 2011b).
Šajā pētījumā fruktozes izraisītā dislipidēmijas modelī meldonija ievadīšana samazināja insulīna daudzumu asins plazmā, neietekmējot glikozes koncentrāciju, kas varētu liecināt par to, ka nepieciešama mazāka insulīna koncentrācija, lai nodrošinātu līdzvērtīgu glikēmijas pakāpi. Iegūtie rezultāti liecina, ka meldonija lietošanu varētu ieteikt pacientiem ar metabolo sindromu enerģijas metabolisma normalizēšanai.
Meldonija lietošana palielināja brīvo taukskābju koncentrāciju plazmā žurkām tukšā dūšā par 17 %, bet neietekmēja brīvo taukskābju koncentrāciju plazmā ēdušām žurkām, kā arī lipīdu un glikogēna daudzumu aknu audos. Iepriekš ir publicēta informācija, ka meldonija lietošana izraisa brīvo taukskābju palielināšanos plazmā un aknu audos žurkām tukšā dūšā, savukārt pēc barības uzņemšanas dažu stundu laikā lipīdu līmenis normalizējas (Degrace, 2007). Šo efektu var skaidrot ar stimulētu lipolīzi, jo netiek kavēts taukskābju metabolisms, tomēr precīzs mehānisms nav noskaidrots. Tā kā žurkām pēc fruktozes šķīduma un meldonija lietošanas nebija palielināts svars, plazmas triglicerīdu un lipīdu koncentrācija aknās L-karnitīna koncentrācijas samazināšanai nevajadzētu radīt papildu traucējumus dislipidēmijas gadījumā.
Līdz šim meldonija kardioprotektīvais efekts dislipidēmijas modelī nav pētīts. Mūsu pētījumā parādīts, ka pēc četru nedēļu ilgas meldonija ievadīšanas infarkta izmērs un endotēlija funkcionalitāte eksperimentālās dislipidēmijas modelī neatšķīrās no veselās kontrolgrupas. Pētījuma rezultāti apliecina, ka meldonija izraisītā L-karnitīna koncentrācijas samazināšana aizkavēja kardiovaskulāro bojājumu attīstību dislipidēmijas modelī. Kopumā mūsu pētījuma rezultāti un iepriekš novērotais meldonija protektīvais efekts aptaukošanās un 2. tipa cukura diabēta modeļos (Liepinsh, 2009b) norāda, ka meldonija izraisītais L-karnitīna koncentrācijas samazinājums aizkavē kardiovaskulāro bojājumu attīstību un samazina kardiovaskulāro slimību risku ogļhidrātu metabolisma patoloģiju gadījumā.
Secinājumi
Iegūtie rezultāti liecina, ka L-karnitīna koncentrācijas samazināšana aizkavē dislipidēmijas izraisīto enerģijas metabolisma traucējumu un kardiovaskulāro bojājumu attīstību pētījumā ar Wistar līnijas žurku tēviņiem. Meldonija izraisītā L-karnitīna koncentrācijas samazināšana varētu mazināt kardiovaskulāro notikumu risku pacientiem ar metabolo sindromu.
Pateicība
Pētījums tapis ar Eiropas Sociālā fonda projekta Nr. 2013/0003/1DP/1.1.1.2.0/13/ /APIA/VIAA/009 atbalstu.
Abstract
Meldonium-induced Decrease in L-carnitine Concentration Attenuates Development of Cardiovascular Damage in Experimental Dyslipidemia Model
Dyslipidemia is one of the major risk factors of cardiovascular disease. L-carnitine is involved in both fatty acid and glucose metabolism. It has been shown that the reduction of L-carnitine concentration redirects fatty acid flux, stimulates glucose metabolism and, in this way, attenuates metabolic disturbances induced by dyslipidemia. The aim of this study was to evaluate the benefits of decreased L-carnitine concentration in the prevention of disturbances induced by dyslipidemia.
The male Wistar rats received a 10 % fructose in drinking water for eight weeks to develop the dyslipidemia- related disturbances. To reduce the plasma and tissue L-carnitine concentration, meldonium was administered at a dose of 200 mg/kg for four weeks. At the end of the study physiological and biochemical parameters, endothelial function in isolated aortas and ischemia-reperfusion damage in isolated heart model were examined.
The fructose administration increased plasma levels of free fatty acids and triglycerides in fed rats by 29 % and 73 %, respectively. Administration of meldonium significantly reduced the fructose-induced increase in triglyceride concentration by 31 %. Administration of meldonium decreased the plasma insulin concentration in the fed state by 45 %. Fructose administration induced significant 1.8-fold increase in the infarct size of rat hearts when compared to the control group. In turn the infarct size in meldonium treated rat hearts was not different from the infarct size of control rat hearts, which can be considered as an improvement in comparison to dyslipidemia control.
Obtained results show that decrease in L-carnitine concentration attenuated the development of dyslipidemia-related disturbances in energy metabolism and cardiovascular damage in male Wistar rats. The meldonium-induced decrease in L-carnitine concentration could be a useful approach to reduce the risk of cardiovascular events in patients with metabolic syndrome.
Literatūra
- Abdulla M. H., Sattar M. A., Johns E. J. The Relation between Fructose-Induced Metabolic Syndrome and Altered Renal Haemodynamic and Excretory Function in the Rat. Int J Nephrol, 2011; 2011: 1–17.
- Calvani M., Reda E., Arrigoni-Martelli E. Regulation by carnitine of myocardial fatty acid and carbohydrate metabolism under normal and pathological conditions. Basic Res Cardiol, 2000; 95 (2): 75–83.
- Dambrova M., Liepinsh E. Risks and benefits of carnitine supplementation in diabetes. Exp Clin Endocrinol Diabetes, 2015; 123 (2): 95–100.
- Dambrova M., Liepinsh E., Kalvinsh I. Mildronate: cardioprotective action through carnitine-lowering effect. Trends Cardiovasc Med, 2002; 12 (6): 275–279.
- De Moura R. F., Ribeiro C., de Oliveira J. A., et al. Metabolic syndrome signs in Wistar rats submitted to different highfructose ingestion protocols. Br J Nutr, 2009; 101 (8): 1178–1184.
- Degrace P., Demizieux L., Du Z. Y., et al. Regulation of lipid flux between liver and adipose tissue during transient hepatic steatosis in carnitine-depleted rats J Biol Chem, 2007; 282 (29): 20816–20826.
- El-Bassossy H. M., Dsokey N., Fahmy A. Characterization of vascular complications in experimental model of fructoseinduced metabolic syndrome. Toxicol Mech Methods, 2014; 24 (8): 536–543.
- Hu F. B., Malik V. S. Sugar-sweetened beverages and risk of obesity and type 2 diabetes: epidemiologic evidence. Physiol Behav, 2010; 100 (1): 47–54.
- Kuka J., Vilskersts R., Cirule H., et al. The cardioprotective effect of mildronate is diminished after co-treatment with L-carnitine. J Cardiovasc Pharmacol Ther, 2012; 17 (2): 215–222.
- Kuwajima M., Harashima H., Hayashi M., et al. Pharmacokinetic analysis of the cardioprotective effect of 3-(2,2,2-trimethylhydrazinium) propionate in mice: inhibition of carnitine transport in kidney. J Pharmacol Exp Ther, 1999; 289 (1): 93–102.
- Liepinsh E., Kalvinsh I., Dambrova M. The Regulation of Energy Metabolism Pathways Through L-Carnitine Homeostasis. Role of the Adipocyte in Developement of Type 2 Diabetes. Ed. by Croniger C. Rijeka: InTech, 2011a; 107–128.
- Liepinsh E., Kuka J., Dambrova M. Troubleshooting digital macro photography for image acquisition and the analysis of biological samples. J Pharmacol Toxicol Methods, 2013; 67 (2): 98–106.
- Liepinsh E., Kuka J., Svalbe B., et al. Effects of long-term mildronate treatment on cardiac and liver functions in rats Basic Clin Pharmacol Toxicol, 2009a; 105 (6): 387–394.
- Liepinsh E., Skapare E., Svalbe B., et al. Anti-diabetic effects of mildronate alone or in combination with metformin in obese Zucker rats. Eur J Pharmacol, 2011b; 658 (2–3): 277–283.
- Liepinsh E., Vilskersts R., Loca D., et al. Mildronate, an inhibitor of carnitine biosynthesis, induces an increase in gamma-butyrobetaine contents and cardioprotection in isolated rat heart infarction. J Cardiovasc Pharmacol, 2006; 48 (6): 314–319.
- Liepinsh E., Vilskersts R., Skapare E., et al. Mildronate decreases carnitine availability and up-regulates glucose uptake and related gene expression in the mouse heart. Life Sci, 2008; 83 (17–18): 613–619.
- Liepinsh E., Vilskersts R., Zvejniece L., et al. Protective effects of mildronate in an experimental model of type 2 diabetes in Goto-Kakizaki rats. Br J Pharmacol, 2009b; 157 (8): 1549–1556.
- Malik V. S., Hu F. B. Sweeteners and Risk of Obesity and Type 2 Diabetes: The Role of Sugar-Sweetened Beverages. Curr Diab Rep, 2012; 12 (2): 195–203.
- Sesti C., Simkhovich B. Z., Kalvinsh I., et al. Mildronate, a novel fatty acid oxidation inhibitor and antianginal agent, reduces myocardial infarct size without affecting hemodynamics. J Cardiovasc Pharmacol, 2006; 47 (3): 493–499.
- Stephens F. B., Constantin-Teodosiu D., Greenhaff P. L. New insights concerning the role of carnitine in the regulation of fuel metabolism in skeletal muscle J Physiol, 2007; 581 (Pt 2): 431–444.
- Tappy L., Mittendorfer B. Fructose toxicity: is the science ready for public health actions? Curr Opin Clin Nutr Metab Care, 2012; 15 (4): 357–361.
- Teff K. L., Elliott S. S., Tschop M., et al. Dietary fructose reduces circulating insulin and leptin, attenuates postprandial suppression of ghrelin, and increases triglycerides in women. J Clin Endocrinol Metab, 2004; 89 (6): 2963–2972.
- Tran L. T., Yuen V. G., McNeill J. H. The fructose-fed rat: a review on the mechanisms of fructose-induced insulin resistance and hypertension. Mol Cell Biochem, 2009; 332 (1–2): 145–159.
- Vilskersts R., Kuka J., Liepinsh E., et al. Magnesium nitrate attenuates blood pressure rise in SHR rats. Magnes Res, 2014; 27 (1): 16–24.
- Vilskersts R., Liepinsh E., Mateuszuk L., et al. Mildronate, a regulator of energy metabolism, reduces atherosclerosis in apoE/LDLR-/-mice. Pharmacology, 2009; 83 (5): 287–293.
- Wiernsperger N., Geloen A., Rapin J. R. Fructose and cardiometabolic disorders: the controversy will, and must, continue. Clinics (Sao Paulo), 2010; 65 (7): 729–738.
- Yuan F., Teng X., Guo Z., et al. Chronic intermittent hypobaric hypoxia ameliorates endoplasmic reticulum stress mediated liver damage induced by fructose in rats. Life Sci, 2015; 121: 40–45.
- Zhang N., Wang X. H., Mao S. L., et al. Astragaloside IV improves metabolic syndrome and endothelium dysfunction in fructose-fed rats. Molecules, 2011; 16 (5): 3896–3907.